BSEB Bihar Board Class 9 Maths Solutions Chapter 6 रेखाएँ और कोण Ex 6.3

प्रश्न 1. आकृति में, ∆PQR की भुजाओं OP और RQ को क्रमश: बिन्दुओं S और T तक बढ़ाया गया है। यदि ∠SPR = 135° है, और तो ∠PQT = 110° है, तो ∠PRQ ज्ञात कीजिए।

प्रश्न 2 आकृति में, ∠x = 62° और ∠XYZ = 54 है। यदि YO और ZO क्रमशः ∠XYZ. और ∠XYZ के सपद्विभाजक हैं, तो ∠OZY, ∠YOZ ज्ञात कीजिए।

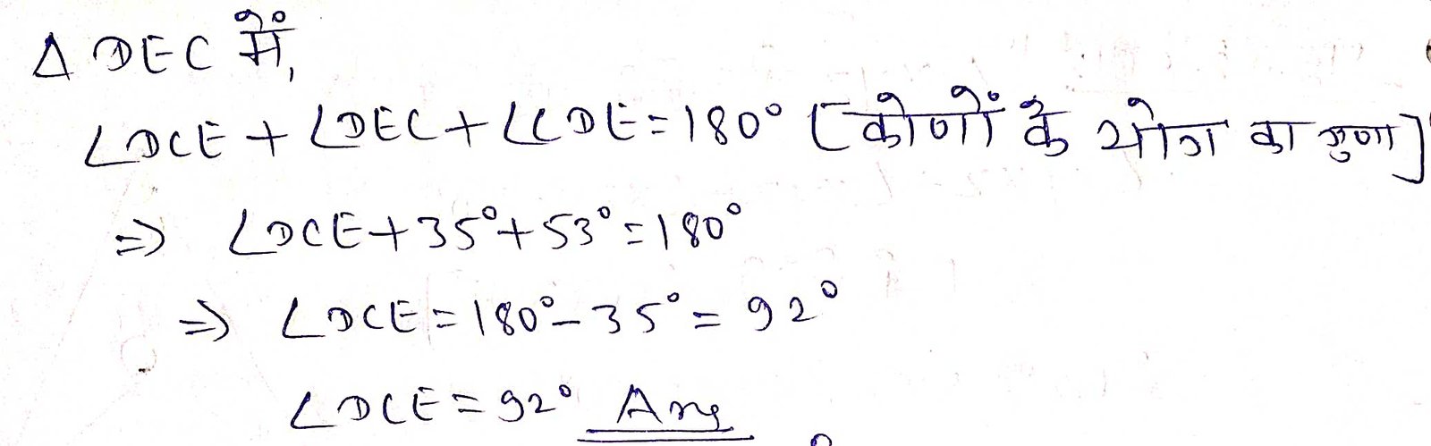
प्रश्न 3. आकृति में, यदि AB || DE ∠BAC = 35° और ∠CDE = 53° है, तो ∠DCE ज्ञात कीजिए।

 

प्रश्न 4. आकृति में यदि रेखाएँ PQ और RS बिन्दु T पर इस प्रकार प्रतिच्छेद करती हैं कि ∠PRT = 40°, ∠RPT = 95° और ∠TSQ = 75° हैं, तो ∠SQT ज्ञात कीजिए।

प्रश्न 5. आकृति में, यदि PQ ⊥ PS. PQ || SR, ∠SQR = 28° और ∠QRT = 65° है, तो x और y का मान ज्ञात कीजिए।

प्रान 6. आकृति में, ∆PQR की भुजा QR को बिंदु S तक बढ़ाया गया है। यदि ∠PQR तथा ∠PRS के समद्विभाजक बिन्दु पर मिलते हैं, तो सिद्ध कीजिए कि ∠QTR = 1/2 ∠QPR है।

 

Leave a Comment